Light Propagation (part 1)
Spatial Behavior
ECE
5368/6358 han q le - copyrighted
Use solely for students registered for UH ECE
6358/5368 during courses - DO NOT distributed (copyrighted
materials)
Subset 1
0. Load package
1. Some optics phenomena
1.1 Laser beam - Gaussian beam model
Why laser light can be made traveling straight and narrow, but non-laser light seems to always spread?
Light is just ... light: electromagnetic (EM) wave,
so why are there “different” behaviors of light?
How do we describe (mathematically) a laser beam that we see
often?
1.2 Light polarization

Yoav Y. Schechner and Nir Karpel. Recovery of Underwater
Visibility and Structure by Polarization Analysis, IEEE Journal of
Oceanic Engineering, Vol.30 , No.3 , pp.
570-587 (2005).
1.3 Reflection, refraction, total internal reflection, evanescence wave
1.4 Dispersion
is this the same phenomenon as the rainbow or prism
? (No. we’ll learn later how they are different)
A key thing about learning and knowledge is “discrimation”: the
ability to distinguish things that may appear similar
superficially but fundamentally different”. An analogy: resolution
of a camera.
is this the same phenomenon as that of the rainbow or the optical disk? (No. we’ll learn later how they are different)
What phenomenon above is most similar to this?
1.5 Interference
http://www.olympusmicro.com/primer/techniques/fluorescence/interferencefilterintro.html


1.6 Diffraction
Is this the same phenomenon as the rainbow or prism
? No, it is diffraction
How does light moves, interacts with objects,
structures?


http://www.youtube.com/watch?v=IZgYswtwlT8
http://www.youtube.com/watch?v=4EDr2YY9lyA
1.7 Lens imaging

http://www.hoya-pod.com/english/product02
Reading(for IT ROM drives and players)
Writing (for IT writers and recorders)
Finite/Infinite optical system design
Applicable to widely diversified uses and sizes, such as half
height, slim, ultra-slim, etc. Make certain of general
specifications.

1.8 Component technology
1.8.1 Light source and lasers
1.8.2 Light detectors
1.8.3 Optics/photonics devices
1.9 Optical system and applications (individual research paper)
Extra assignment 1.1
Pick an optical phenomenon of your interest and write what you think or know about it. DO NOT copy and paste what you find on the Internet. Read it, try to think hard about it, and write your own thoughts in your own words, in other words, processed information, not transmitted information.
2. Review and introduction
2.1 Newton’s corpuscular theory of light
Some recommended reading (besides Fowles):
http://www.olympusmicro.com/primer/lightandcolor/particleorwave.html

Corpuscular vs wave: diffraction phenomenon
Wave diffraction
2.2 Huygens’ wave theory of light
Christiaan Huygens (1629 – 1695)
Huygens’ theory (ca. 1678):

Leading to the most important experimental result in early 19th
century: interference (and implicitly diffraction) that confirmed
the wave behavior of light.
For those interested, see more:
A History of Optics from Greek Antiquity to the Nineteenth Century
Olivier Darrigol, Oxford Univ. Press Inc., New York (2012).
Examples are all around us, in nature, e. g.

In the above fig. one should say “interference and diffraction”
2.3 Wave optics and ray optics (geometrical optics)
- Wave optics is the mathematicaly
rigorous “classical” theory of light (which does not include
quantum theory.
- However, wave optics alone is not sufficient to describe many
other phenomena. The more complete theories would be - in this
order: quantum electrodynamics (QED), quantum electro-weak theory,
and GUT - grand -unifying theory,... We don’t really care for the
latters, but quantum optics, a part of QED dealing with photons,
the particle of light with low energy in the electron-Volt (eV)
energy range is the basis for all optics phenomena of interest.
- Ray (or geometrical) optics is a mathematical approximation of
wave optics when the wavelength is very small compared with the
sizes of the objects or geometrical features of interest. Since
this is often true in many optical system applications, it is not
unusual to see that ray optics, which is intuitively easier to
apply is often used instead of wave optics.
- This course will principally focus on wave optics, with the
quantum theory of light is applied whenever it is relevant.
3. Maxwell's EM theory
Note: in the following, “gray background” parts are heavy math parts and you can “glaze” over if find them too difficult. Pay attention to those equations highlighted in green.
3.1 Basic review
Electromagnetic field is represented by 2 vectors: E: electric field and B: magnetic induction field. To describe the EM field in a medium, we need two more vector fields: electric dispacement field D, and magnetic vector field H. In addition, the sources of these fields are also needed in the Maxwell equations: J: electric current density, and ρ: the electric charge density.
Excersise: What are the units of all these fields and sources?
Wonder if there is "magnetic monopole” source ?
Maxwell
equations:
(3.1.1a)
(3.1.1b)
∇. D=4 π ρ (3.1.1c)
∇. B=0 (3.1.1d)
The relations between various fields in a medium are:
D=E+4 π P (3.1.2a)
B=H+4 π M (3.1.2b)
J=σ
. E
(3.1.2c)
where P is the
polarization vector, M is
the magnetization vector, and σ is the conductivity tensor. A most
important relation for a material is:
P = χ . E
, (3.1.3)
where χ is a second-rank tensor called electric susceptibility,
and
M = η . H (3.1.4)
is the magnetization. In these cases, the materials are said to be
linear, to reflect the linear relationship of various induced
quantities with respect to the field.
In the simplest case, all material parameters are scalar
(isotropic). For most materials:
B=μ
H (3.1.5)
where μ is just a scalar. Of course, there are interesting
metamaterials but these will be discussed later in advanced topics
(at the end of the course)
For nonlinear optics, the most interesting case is when χ is not a
constant of E, but depending on E:
(3.1.6)
where
is called the nth order electric susceptibility tensor. Nonlinear
optics is a crucial element of photonics.
Extra reading: where does the polarization
field in a medium come from?
Note: only induced polarization enters into time-dependent
Maxwell’s equations.
Many molecules have intrinsic constant polarization or are
instantaneously polarized when interacting (Van Der Waals force:
http://www.chemguide.co.uk/atoms/bonding/vdw.html). But we are
interested only in induced polarization: the difference between
polarization in the absence of an electric field and that with an
electric field.
The Maxwell description is a spatially macroscopic average of
atom/molecule polarization. A wavelength of light is typically
much larger than atom or molecule and on that scale, macroscopic
averaging is appropriate. (obviously, we don’t apply this
polarization concept to X-ray or γ ray. In fact, Maxwell theory is
not useful for such high energy photons in describing the
interation of light with matter, rather, quantum theory is
necessary).
Discussion: what are important devices, effects with optical nonlinearities?
The simplest
case is, of course:
(3.1.7a)
B=H+4 π M =H+4 π η . H
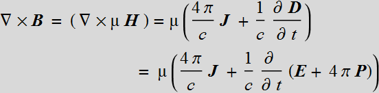
= (1+4 π η) H = μ . H (3.1.7b)
Then, by substituting:
=>
(3.1.8a)
Or:
(3.1.8b)
(notice the assumption of instantaneous time-response of M).
Likewise:
=>
(3.1.9a)
=>
(3.1.9b)
And: ∇.
ε E=4 π ρ
(3.1.10a)
∇.
μ H=0 (3.1.10b)
We now deal only with E
and H in a linear medium.
As mentioned about μ above, a key assumption we will making througout this course is that μ is isotropic and constant in space and instantaneous in time response. This is true about μ in all known practical optical materials around us: dielectric such as glasses (the types used in optical fibers and various optical devices), semiconductors, other optical dielectrics from inorganic to organic. In fact, we will often set μ =1. Of course, when we say “optical” here, we mean from long wave IR in the 10’s μm to blue/UV in the 10’s of nm. This is not true for longer waves and the response of μ should be treated the same as that of ε for electric polarization.
We cannot say the same for ε being isotropic and constant in space and instantaneous in time response. A key property, we will see is that ε has a time-response (from the polarization field P) which makes the propagation of light in media qualitatively different from in vacuum.
3.2 Frequency domain
A very crucial concept is the nature of light when
interacting with matters, i. e. atoms/molecules, more
specifically, the electrons of atoms/molecules. As it turns out,
as mentioned in 2.3 above, light is fundamentally made up of
photons that are described with harmonic functions sine and
cosine, or in complex notation,
.
(we use the convention of minus sign).
What it means is
that we can assume that the time behavior of any light is made up
of the
basis function:
(3.2.1)
This is the essence of frequency domain and the basic principle of
linear superposition.
Note: The minus sign associate with ω t is just a convention. For mathematical formalism, the integration extends from -∞ to ∞, but of course, there is no physical meaning of negative frequency.
Let’s assume for simplicity that we deal with E and B with only one frequency ω, called monochromatic field, then:
Maxwell
equations:
(3.1.1a) ⇒
(3.2.2a)
(3.1.1b) ⇒
(3.2.2b)
∇. D=4 π ρ (3.1.1c) remains
the same
∇. B=0 (3.1.1d) remains
the same
We can still keep the relations between various fields in a
medium:
D=E+4 π P (3.1.2a)
B=H+4 π M (3.1.2b)
J=σ
. E
(3.1.2c)
with the knowledge that each quantity is a component with
frequency ω. Hence, the key point here is that we have to be
explicit about ω where it is relevant. Thus, for
polarization P
and magnetization M:
P = χ[ω]
. E
, (3.2.3)
where χ is a second-rank tensor called electric susceptibility,
and
M = η[ω]
. H
(3.2.4)
In these cases, the materials are said to be linear, otherwise it
would involve higher order harmonic components 2 ω, 3 ω, ...
In fact, for nonlinear optics, we have to include higher order
:
(3.2.5)
Each of the terms
is not the same even of the same order n. For example,
is the susceptibility that creates a polarization with double
frequency of that of the incident E field (2 photons add up),
where as
involves a photon cancels another in such a way that it gives a DC
(zero frequency) polarization.
The essence is that time is explicitly removed and it becomes all-space differential equations.
The frequency domain is the essential approach to virtually all phenomena studied in this course.
That said, of course one can use time-domain. But this is mostly for numerical method only, not for analytical approach (time-domain would be too complex mathematically, except for few simplest problems). Example is FDTD. (link here). but you will see later that FDTD for optics is also quite involved with heavy number crunching. Thus, sometimes, frequency-domain approximation is more convenient with just slightly less accuracy.
3.3 Supplementary discussion on CGS-Gaussian and MKSA
3.3.1 Table of conversion
Useful table for CGS (Gaussian)-MKS conversion of
equations and quantities
3.3.2 MKSA Maxwell equations
The MKSA Maxwell
equations are:
∇.D= ρ
∇.B=0
and:
Thus:
and
In some case, people include the magnetization current:
(with additional magnetization current)

The vacuum permittivity and permeability
and
,
respectively, are just scalar constants. Since this is included in
software that is MKS based, we only have to input ε, μ,
,
and
.
In this course, we will use the CGS-Gaussian system (except when we explicitly use MKSA for certain specific reason).
Assignment 1.3
4. The wave equation
4.1 The existence of EM waves
The biggest
implication of the Maxwell equations is the existence of EM wave.
(4.1.1a)
(4.1.1.b)
Substitute
(4.1.2)
and:
(4.1.3)
we obtain:
(4.1.4a)
(4.1.4b)
(4.1.4c)
The above equations are still fundamental, although they are the
derived, not original Maxwell’s equations. We have not made any
particular assumption yet about P and ε except for the
one about µ
being isotropic and constant vs. time.
In the absence of sources (for macroscopic classical optics, where
quantum interaction of the photon and matter is statistically
averaged), both ρ and J are zero (not usually the
case for RF-mirowave).
Let
(4.1.5)
where P
denotes any residual polarization besides the
linear polarization component
,
which is the non-linear component of polarization that is
important for non-linear optics. Then:
(4.1.6)
. (4.1.7)
The equation
(4.1.4c):
becomes:
(4.1.8a)
(4.1.8b)
This equation is essential for dealing with
nonvanishing P in the
case of nonlinear optics.
When there is no nonlinearity, i. e. P =0
(4.1.9)
In an anisotropic medium, ε,
are tensor and the above equation must be solved simultaneously
with E and D. Again, if the medium is isotropic, uniform,
,
and:
(4.1.10)
This is the wave equation. In vacuum, μ= 1, ε=1 and the wave
propagates with the speed of light. We have a similar equation for
H:
(4.1.11)
Remember: The above equations are correct for vacuum, but not necessarily in a medium. It is approximately correct so far only when the assumptions in the above are true for P and χ. We will see that we don’t really use these equations often, but the more relevant Helmholtz equation below. However, they are useful to illustrate the nature of EM waves.
Remember that
polarization field is a response of the medium to the EM field.
Hence, one should think causally that:
(4.1.12)
In other words, the polarization at time t does not just depend on
the instantaneous E field at time t, but also on the history of
the field before that time because the medium response is an
accumulation (integral) effect of the atomic/molecular eletron
response to the entire history of the field. (For simplicity,
ignore spatial neighboring effect). It appears that one can treat
the problem as a linear time-invariant system and can use the
time-domain approach.
For a perfect LTI system, the frequency response is the FT of the
impulse response α[t]: (causally, α[t]=0 for t<0).
(4.1.13)
But as we discuss in 3.2, the truly correct approach for
analytical perspective or even also numerical approximation is the
frequency-domain response approach, which is consistent with the
quantum theory of the interaction of light and matter. Hence,
instead of dealing with (4.1.12), we can write:
P[ω]=χ[ω]
E[ω] (4.1.14)
We will also see that the Helmholtz equation is the convenient
starting point to deal with waves in media.
4.2 Vector potential
In a uniform,
linear, homogeneous medium, the Maxwell Eqs. can be expressed in
simpler terms:
(4.2.1a)
(4.2.1b)
(4.2.1c)
∇.B=0 (4.2.1d)
We can obtain the same wave eqs. as we did earlier. But does that
mean we have to solve for all six components: 3 for E and 3 for B? Obviously not, because they
are related (dependent on each other) as shown. The question is:
what are the minimum components we should solve? That certainly
depends on specific problem. But one very useful insight is the
concept of vector potential.
Since ∇.B=0 , and div
of any curl is zero, we postulate the existence of a vector field
such
that: B=∇×A. (4.2.2)
Then:
. (4.2.3)
Since Curl of any grad is also zero, we can also postulate:
. (4.2.4)
Then the eqs. become:
==>
(4.2.5)
or:
(4.2.6)
(4.2.7)
Likewise:
==>
. (4.2.8)
or:
. (4.2.9)
If we impose the
Lorentz condition:
which connects the two potential (so that they are not independent
anymore), we obtain homogeneous eqs. :
(4.2.10a)
(4.2.10b)
Now we see that we can solve for A, φ and we obtain E and B.
However, it can seen that there is not a unique A, φ: if we define
new A' and φ' such that:
A'=A+∇χ (4.2.11a)
(4.2.11b)
where χ is any arbitrary scalar function,
then: ∇×A'=∇×A=B; (4.2.12a)
and
(4.2.12b)
which yield the same E and B. With Lorentz condition:
, (4.2.13)
which satisfies the homogeneous wave equation also. This
transformation is known as "gauge transformation".
A special case when there is no charge, one can choose χ to be c∫φd t since this function satifies the
wave equation, then: φ'=0 and it is
sufficient to solve only for A, from which we obtain:
(4.2.14)
The key point here is that we see that at most 4 components, A and φ are sufficient to determine E and H (but A and φ are also dependent on each other with the Lorentz condition). We don’t have truly 6 independent components of E and H. If they were, there wouldn’t be any Maxwell’s equation between them! and there is no theory of light. In many problems, the number of independent component can even be reduce to as low as 1. In other words, in some problem, we need to determine only 1 component and can derive all 6 components of E and H. The more symmetry a problem has, the fewer is the number of components. A and φ are the starting concept for quantum field theory, where the photons are described with such a field, not E and H.
Summary:
1- Maxwell equations are deceptively simple. Rarely do we use them
in the original form as the starting point to solve a problem. We
use derived forms (secondary equations) to reduce the coupling of
various terms.
2- The secondary (derived) forms can be very complicated or simple
depending on the problems.
3- It is important to know which secondary form is suitable for
which case: it is crucial to understand (and remember or check if
you don't remember) the underlying assumptions that give a
specific form. A very common error in setting up a problem is to
use an equation whose assumption is not valid for the case.